投稿詳細
データで語る最強ランキング
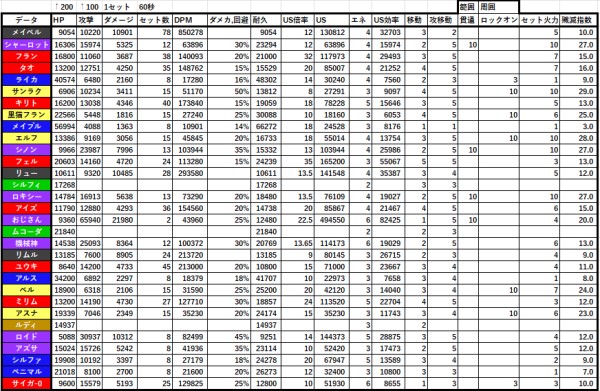
指標をもとに点数を振り分けてランキング化しました。
火力(20):DPMで配分,DPM2位のリューを満点の基準とした。メイベルは上限突破
殲滅力(20):移動(5),攻撃時移動(5),貫通(10),範囲(10),周囲(3),インセプ(10),セット火力とロールのバランス(10),シューターは攻撃時移動がないので+5加算。これらをmax20,min1に正規化
耐久(20):ダメカと回避込みのHP
回復(20):ヒーラー用,回復量で点数,範囲は+10加点
支援(20):サポーター得点バランス用
US(10):ユニークスキル,エネ効率で比較
US加点:追加効果がある,敵によってhit数が増えるなど
AS(5):アタックスキル,ウォリアー専用
守護(5):ガーディアン得点バランス用
固有能力(3):飛行やパッシブ,タオの貫通ASなど
職適正(5):ロールに適した性能か
Field S(5):フィールドスキルの数,解錠と幸運は+1加点
FS(5):ファストスキル(その他は性能次第で配分,複数効果は加点)
5.
4.攻撃デバフ、回復、常時クリ
3.攻撃up、間隔短縮
2.短時間で微妙なやつ
1.エーテル増加
EX(5):エクストラスキル(全体効果,複数効果は1pt加点)
5.
4.無敵,確定回避,行動速度
3.回復,攻撃up,ダメージ
2.デバフ
1.その他
2025/7/10 13:50
3